Bạn đã bao giờ tò mò về việc những tỷ phú như Elon Musk hay Jeff Bezos có thể tạo ra tài sản khổng lồ như thế nào chưa? Câu trả lời nằm ở cách họ sử dụng "hệ số đòn bẩy tài chính" trong chiến lược kinh doanh của mình.

Đòn bẩy tài chính nghe hơi kỹ thuật, nhưng nếu muốn tối ưu hóa lợi nhuận và giảm thiểu rủi ro, đây chính là công cụ mà bạn không thể bỏ qua. Ngay cả khi bạn không phải là một tỷ phú, việc hiểu rõ và sử dụng hệ số đòn bẩy tài chính đúng cách sẽ giúp bạn xây dựng và phát triển tài sản của mình một cách hiệu quả.

Trong bài viết này, Prudential sẽ cung cấp cho bạn những thông tin hữu ích xoay quanh hệ số đòn bẩy từ khái niệm cơ bản đến cách thức vận dụng chúng vào thực tế. Hãy theo dõi ngay nhé!

Hệ số đòn bẩy tài chính là gì?

Hệ số đòn bẩy tài chính (Financial Leverage - FL) là một chỉ số giúp đánh giá mức độ vay vốn của một doanh nghiệp với mục đích hỗ trợ hoạt động kinh doanh và tăng trưởng. Đây cũng là cách để các công ty mở rộng quy mô hoạt động mà không cần phải tăng thêm vốn cổ phần.

Hãy nhớ rằng, việc vay vốn (mượn nợ) không hoàn toàn là điều xấu. Nếu sử dụng đòn bẩy tài chính đúng cách, sẽ thúc đẩy doanh nghiệp phát triển mạnh mẽ. Ngược lại, nếu doanh nghiệp không thể kiểm soát được các khoản nợ của mình, hậu quả có thể dẫn đến là phá sản.

he-so-don-bay-tai-chinh-2-1200x800 Hệ số đòn bẩy tài chính giúp đánh giá mức độ sử dụng nợ của một doanh nghiệp trong hoạt động kinh doanh

Vai trò của hệ số đòn bẩy đối với thị trường

Hệ số đòn bẩy có thể có tác động mạnh mẽ đến thị trường tài chính, góp phần gia tăng sự biến động của giá cả và tăng cường khả năng lan truyền của các biến động. Nếu sử dụng hệ số đòn bẩy quá mức có thể dẫn đến những tác động không mong muốn trên thị trường và gây ra sự bất ổn về tài chính. Do đó, việc quản lý và giám sát hệ số đòn bẩy là một yếu tố quan trọng trong quản lý rủi ro và ổn định thị trường.

Việc sử dụng hệ số đòn bẩy không chỉ áp dụng cho các nhà đầu tư cá nhân mà còn phổ biến trong các công ty, ngân hàng và quỹ đầu tư. Tuy nhiên, cần lưu ý rằng việc sử dụng hệ số đòn bẩy cần được thực hiện một cách cẩn trọng, vì mức độ đòn bẩy quá cao có thể gây ra rủi ro không kiểm soát được.

Ưu - Nhược điểm khi sử dụng hệ số đòn bẩy tài chính

Sử dụng hệ số đòn bẩy tài chính trong quản lý doanh nghiệp và đầu tư có cả ưu điểm và nhược điểm:

1. Ưu điểm

  • Tăng khả năng sinh lời: Khi một doanh nghiệp sử dụng đòn bẩy tài chính hiệu quả, sẽ thúc đẩy tăng lợi nhuận tốt hơn. Điều này xảy ra khi lợi nhuận từ những khoản vay vượt quá chi phí lãi vay.
  • Mở rộng hoạt động kinh doanh: Đòn bẩy tài chính cho phép các doanh nghiệp mở rộng hoạt động kinh doanh mà không cần phải tăng thêm vốn cổ phần. Điều này cho phép doanh nghiệp phát triển nhanh hơn và tối ưu hóa sử dụng các nguồn lực hiện tại.
  • Lợi ích về thuế: Khoản lãi vay có thể được trừ từ thu nhập chịu thuế, do đó giảm bớt gánh nặng đóng thuế cho doanh nghiệp.

2. Nhược điểm

  • Rủi ro tài chính cao: Một doanh nghiệp sử dụng hệ số đòn bẩy tài chính cao, đồng nghĩa phải đối mặt với rủi ro tài chính cao hơn. Đặc biệt là khi hoạt động kinh doanh không tạo ra đủ lợi nhuận để trả nợ, có thể dẫn đến phá sản.
  • Gánh nặng tài chính: Doanh nghiệp phải đảm bảo họ có khả năng trả lãi vay và khoản nợ gốc đúng kỳ hạn. Nếu không, họ có thể phải đối mặt với hậu quả tài chính nghiêm trọng.
  • Áp lực về lợi nhuận: Đòn bẩy tài chính có thể tạo ra áp lực về lợi nhuận. Tuy nhiên, nếu doanh nghiệp không thể tạo ra lợi nhuận tốt sẽ làm giảm giá cổ phiếu và đánh mất lòng tin của các nhà đầu tư.

Công thức tính hệ đòn bẩy tài chính

Hệ số đòn bẩy tài chính được tính bằng công thức: DFL = (ΔEPS/EPS0) / (ΔEBIT/EBIT0).

Trong đó:

  • EPS (Earnings per share): Thu nhập trên mỗi cổ phiếu

  • EBIT(Earnings before Interest and taxes): Lãi vay và lợi nhuận trước thuế của doanh nghiệp

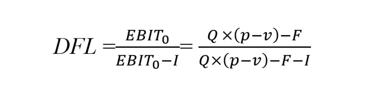
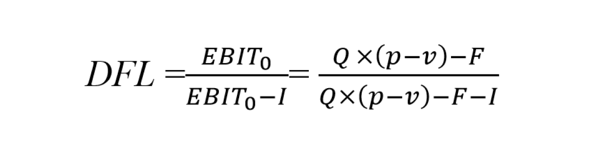
Trường khi khi có khoản lãi vay phải trả thì công thức tính đòn bẩy tài chính như sau:ư sau:

he-so-don-bay-tai-chinh-4-1200x800 Công thức tính hệ số đòn bẩy tài chính

Trong đó:

  • F: Chi phí cố định (không tính lãi vay).
  • I: Khoản lãi vay phải trả.
  • Q: Số lượng sản phẩm.
  • v: Chi phí biến đổi cho 1 đơn vị sản phẩm.
  • p: Giá bán sản phẩm.

Ví dụ:

Công ty C kinh doanh mặt hàng "x" với: kinh doanh mặt hàng xyz với:

  • Tổng vốn bỏ ra: 000.000 đồng, trong đó vay 70.000.000 đồng với lãi suất 150%/năm.
  • Dự kiến trong năm 2023, công ty C sẽ bán ra 10.000 sản phẩm với mức giá là 25.000 đồng/sản phẩm. Suy ra, doanh thu dự kiến sẽ là: 10.000 x 25.000 = 250.000.000 đồng.
  • Tổng chi phí kinh doanh cố định là 50.000.000 đồng, trong đó chi phí biến đổi cho mỗi sản phẩm là 16.000 đồng.

Áp dụng vào công thức tính hệ số đòn bẩy ta có:

  • Lãi vay: 70.000.000 X 15% = 10.500.000 đồng.
  • Giá bán sản phẩm: 25.000 đồng
  • Chi phí cố định: 50.000.000 đồng.
  • Chi phí biến đổi: 16.000 đồng.
  • Số lượng sản phẩm dự kiến bán ra: 10.000 sản phẩm.

=> EBIT: 10.000 x (25.000 – 16.000) – 50.000.000 = 40.000.000 đồng.

=> DFL: 40.000.000 / (40.000.000 - 10.500.000) = 1.36.

Cách tận dụng hệ số đòn bẩy tài chính hiệu quả

Làm thế nào để tận dụng hệ số đòn bẩy giúp gia tăng lợi nhuận hiệu quả? Bạn đừng bỏ lỡ những 5 cách hữu ích dưới đây:

1. Học hỏi kinh nghiệm từ các nhà đầu tư chuyên nghiệp

Ngoài việc tự nâng cấp kiến thức của bản thân, bạn hãy học hỏi kinh nghiệm và tham khảo lời khuyên từ những nhà đầu tư chuyên nghiệp. Thông qua đó, bạn sẽ đúc kết nguyên tắc riêng của bản thân cũng như các bí quyết đầu tư hiệu quả.

Không ngừng rèn luyện và tiếp thu kinh nghiệm chính là cách tốt nhất để bạn tối đa hóa kết quả đầu tư chỉ trong thời gian ngắn. Đây chính là "con đường tắt" đưa bạn đến với thành công trong kinh doanh như mong đợi!

/he-so-don-bay-tai-chinh-1-1200x800 Tham khảo ý kiến từ những nhà đầu tư giàu kinh nghiệm và không ngừng nâng cấp kiến thức để tạo nguyên tắc đầu tư riêng cho bản thân

>>> Có thể bạn quan tâm: Những kinh nghiệm hữu ích cho nhà đầu tư mới

2. Sử dụng nguồn tiền từ người khác

Có 2 hình thức sử dụng nguồn tiền từ người khác khá phổ biến mà bạn có thể tham khảo:

  • Vay vốn từ các công ty tài chính hoặc ngân hàng để đầu tư và trả lãi theo kỳ hạn. Nếu các khoản nợ quá cao có thể gây áp lực về tài chính khiến nhiều người đối mặt với nguy cơ phá sản.
  • Huy động vốn từ các cổ đông cũng là một đòn bẩy tài chính. Bằng cách phát hành cổ phiếu để thu hút các nhà đầu tư tham gia để tăng vốn điều lệ mà không cần vay nợ.

3. Tổng hợp ý tưởng từ người khác

Không phải lúc nào chỉ dựa vào ý tưởng của cá nhân là sẽ thành công, bạn cần linh hoạt hơn bằng cách tận dụng những ý tưởng sáng tạo từ người khác để tạo nên một kế hoạch đầu tư hiệu quả. Hãy kết hợp với những người có tư duy và chí hướng giống với bạn và khai thác ý tưởng từ họ.

4. Thuê người làm việc

Với những thứ bạn không có khả năng làm hoặc không thể quản lý tốt thì hãy thuê nhân sự để hỗ trợ công việc diễn ra suôn sẻ hơn. Đây cũng là một loại hình đòn bẩy mà các doanh nghiệp thường áp dụng và đạt được thành công như mong đợi nhờ tạo nên sức mạnh cộng hưởng.

>> Xem thêm: Xử lý các khoản nợ một cách khoa học cùng phương pháp Quả cầu tuyết

Lưu ý quan trọng khi sử dụng hệ số đòn bẩy tài chính

Hệ số đòn bẩy không chỉ được ứng dụng trong doanh nghiệp mà còn được các nhà đầu tư sử dụng trên thị trường đầu tư tài chính như chứng khoán, thông qua hình thức ký quỹ để thực hiện giao dịch. Tuy nhiên, có những lưu ý quan trọng mà bạn cần lưu ý để đạt được kết quả tốt nhất:

  • Tạo một khoản dự phòng trong trường hợp Call Margin (Lệnh dừng ký quỹ). Đây là điều cần thiết đối với những nhà đầu tư chưa có nhiều kinh nghiệm. Thay vì sử dụng hệ số đòn bẩy cao để quản lý rủi ro, thì bạn nên bắt đầu ở mức đòn bẩy x1, và tăng dần con số dựa trên kinh nghiệm thực tế.
  • Nếu nguồn vốn đầu tư thấp, bạn nên cân nhắc thật kỹ khi sử dụng hệ số đòn bẩy nhằm giảm thiểu rủi ro khi thị trường biến động.
  • Luôn kiểm soát các giao dịch nằm trong khả năng chấp nhận rủi ro của mình. Đừng mạo hiểm đầu tư nếu bạn không có bất kỳ phương án dự phòng nào.
  • Sử dụng Trailing Stop sẽ giúp bạn bảo toàn số vốn đầu tư. Lời khuyên hữu ích là bạn nên giới hạn cắt lỗ từ 1-2% để tránh "cháy" tài khoản.
  • Khi đọc báo cáo tài chính, bạn nên xem xét thông tin thật kỹ và thận trọng với các doanh nghiệp sử dụng đòn bẩy cao nhưng tốc độ tăng trưởng lại chênh lệch. Điều này có thể gây áp lực về các khoản vay và dẫn đến phá sản khi thị trường bất ổn.
he-so-don-bay-tai-chinh-3-1200x800 Khi sử dụng hệ số đòn bẩy, bạn nên cẩn trọng khi đưa ra bất kỳ quyết định nào để giảm thiểu rủi ro tối đa

>> Xem thêm: Những sai lầm thường gặp trong quản lý tài chính cá nhân

Việc hiểu rõ và biết cách sử dụng hệ số đòn bẩy tài chính là yếu tố quan trọng đối với bất kỳ doanh nghiệp nào muốn tối ưu hóa lợi nhuận và kiểm soát rủi ro. Như bài viết đã chia sẻ, đòn bẩy tài chính có thể tạo ra những cơ hội gia tăng tài sản đáng kể, nhưng cũng tiềm ẩn những rủi ro lớn nếu không được quản lý cẩn thận.

Dù đang điều hành một doanh nghiệp lớn hay nhỏ, việc nắm rõ hệ số đòn bẩy tài chính sẽ giúp bạn đưa ra những quyết định chính xác hơn, tận dụng tốt những cơ hội tăng trưởng và tránh được những rủi ro không cần thiết.

>>> Tìm hiểu thêm:

Hiểu sâu hơn, chọn đúng hơn. Khám phá ngay

Tư vấn miễn phí gói bảo hiểm phù hợp

Hãy để lại thông tin bên dưới, chuyên viên tài chính Prudential sẽ liên hệ với bạn trong thời gian sớm nhất

Bài viết cùng chuyên mục

Hướng dẫn cách chơi chứng khoán cho người mới bắt đầu
Đầu tư

Hướng dẫn cách chơi chứng khoán cho người mới bắt đầu

31-12-2024
Có nên mua vàng thời điểm này để đầu tư sinh lời không?
Đầu tư

Có nên mua vàng thời điểm này để đầu tư sinh lời không?

24-01-2023
7 nguyên tắc quản lý tài chính cá nhân của người thành công
Tài chính cá nhân

7 nguyên tắc quản lý tài chính cá nhân của người thành công

28-09-2018
Đòn bẩy tài chính là gì? Công thức và cách sử dụng
Tài chính cá nhân

Đòn bẩy tài chính là gì? Công thức và cách sử dụng

21-07-2023
6 cách đầu tư tiền thông minh, sinh lời hiệu quả và an toàn
Đầu tư

6 cách đầu tư tiền thông minh, sinh lời hiệu quả và an toàn

12-12-2022
Đừng bỏ lỡ 6 cách đầu tư vàng sinh lời cao nhất hiện nay!
Đầu tư

Đừng bỏ lỡ 6 cách đầu tư vàng sinh lời cao nhất hiện nay!

24-07-2023
Thu nhập thụ động là gì? 12 cách tạo thu nhập thụ động hiệu quả
Tài chính cá nhân

Thu nhập thụ động là gì? 12 cách tạo thu nhập thụ động hiệu quả

23-02-2023
Có ít tiền nên đầu tư gì vừa an toàn vừa sinh lời tốt?
Đầu tư

Có ít tiền nên đầu tư gì vừa an toàn vừa sinh lời tốt?

12-04-2025
Đầu tư cổ phiếu là gì? 5 mẹo giúp đầu tư cổ phiếu an toàn
Đầu tư

Đầu tư cổ phiếu là gì? 5 mẹo giúp đầu tư cổ phiếu an toàn

10-05-2022
Nên mua vàng hay gửi tiết kiệm để tích lũy lâu dài có lợi hơn?
Đầu tư

Nên mua vàng hay gửi tiết kiệm để tích lũy lâu dài có lợi hơn?

11-11-2024
"Bỏ túi" 7 chiến lược đầu tư đất động sản cho người ít vốn cực kỳ hiệu quả
Đầu tư

"Bỏ túi" 7 chiến lược đầu tư đất động sản cho người ít vốn cực kỳ hiệu quả

29-06-2023
Đầu tư trái phiếu Chính phủ là gì? Có nên mua không?
Đầu tư

Đầu tư trái phiếu Chính phủ là gì? Có nên mua không?

08-11-2024
Xử lý các khoản nợ một cách khoa học cùng phương pháp Quả cầu tuyết
Tài chính cá nhân

Xử lý các khoản nợ một cách khoa học cùng phương pháp Quả cầu tuyết

22-12-2021
Phân biệt cổ phiếu và trái phiếu: Lựa chọn nào tốt nhất?
Đầu tư

Phân biệt cổ phiếu và trái phiếu: Lựa chọn nào tốt nhất?

27-07-2024
"Bỏ túi" 15 cách tiết kiệm tiền hiệu quả cho gia đình ngay nhé!
Tài chính cá nhân

"Bỏ túi" 15 cách tiết kiệm tiền hiệu quả cho gia đình ngay nhé!

03-07-2023
8 cách quản lý chi tiêu cá nhân đơn giản và đầy hiệu quả
Tài chính cá nhân

8 cách quản lý chi tiêu cá nhân đơn giản và đầy hiệu quả

27-12-2024
Đầu tư chứng khoán là gì? Tổng quan đầu tư chứng khoán
Đầu tư

Đầu tư chứng khoán là gì? Tổng quan đầu tư chứng khoán

03-12-2024
Lạm phát nên đầu tư gì? 7 kênh đầu tư an toàn, sinh lời hiệu quả
Đầu tư

Lạm phát nên đầu tư gì? 7 kênh đầu tư an toàn, sinh lời hiệu quả

08-11-2024
Kim tứ đồ là gì và bí quyết để tự do tài chính từ sớm
Tài chính cá nhân

Kim tứ đồ là gì và bí quyết để tự do tài chính từ sớm

18-02-2025
Quy tắc 6 chiếc lọ - Áp dụng để quản lý tài chính thông minh
Tài chính cá nhân

Quy tắc 6 chiếc lọ - Áp dụng để quản lý tài chính thông minh

11-11-2024
Nghỉ hưu ở tuổi 50 cần bao nhiêu tiền để tự do tài chính?
Tài chính cá nhân

Nghỉ hưu ở tuổi 50 cần bao nhiêu tiền để tự do tài chính?

12-11-2024
Vốn 100tr nên kinh doanh gì ở nông thôn dễ sinh lời, ít rủi ro?
Đầu tư

Vốn 100tr nên kinh doanh gì ở nông thôn dễ sinh lời, ít rủi ro?

27-06-2025
Quỹ đầu tư là gì? Cách tham gia quỹ đầu tư khó hay dễ?
Đầu tư

Quỹ đầu tư là gì? Cách tham gia quỹ đầu tư khó hay dễ?

04-12-2025
Suy thoái kinh tế nên đầu tư gì để bảo vệ và gia tăng tài sản?
Đầu tư

Suy thoái kinh tế nên đầu tư gì để bảo vệ và gia tăng tài sản?

29-07-2024
Có 50 triệu nên mua vàng hay gửi tiết kiệm có lợi hơn?
Đầu tư

Có 50 triệu nên mua vàng hay gửi tiết kiệm có lợi hơn?

18-02-2025
Đầu tư gì với 100 triệu để sinh lời hiệu quả? 7 ý tưởng HOT nhất
Đầu tư

Đầu tư gì với 100 triệu để sinh lời hiệu quả? 7 ý tưởng HOT nhất

08-11-2024
Đầu tư tài chính là gì? Các hình thức đầu tư tài chính thông minh
Đầu tư

Đầu tư tài chính là gì? Các hình thức đầu tư tài chính thông minh

27-06-2023
Vay margin khi đầu tư chứng khoán - Liều có ăn nhiều?
Đầu tư

Vay margin khi đầu tư chứng khoán - Liều có ăn nhiều?

27-10-2022
Đầu tư là gì? Cách chọn hình thức đầu tư phù hợp
Đầu tư

Đầu tư là gì? Cách chọn hình thức đầu tư phù hợp

01-11-2022
Quỹ mở là gì? Có nên đầu tư quỹ mở hay không?
Đầu tư

Quỹ mở là gì? Có nên đầu tư quỹ mở hay không?

12-12-2022
Đầu tư chứng chỉ quỹ là gì? Những lưu ý khi mua chứng chỉ quỹ
Đầu tư

Đầu tư chứng chỉ quỹ là gì? Những lưu ý khi mua chứng chỉ quỹ

03-12-2025
Chiến lược đầu tư chứng khoán dài hạn bạn cần biết sớm
Đầu tư

Chiến lược đầu tư chứng khoán dài hạn bạn cần biết sớm

19-06-2023
11 Lợi ích hàng đầu của việc tiết kiệm tiền khi còn trẻ!
Tài chính cá nhân

11 Lợi ích hàng đầu của việc tiết kiệm tiền khi còn trẻ!

29-06-2023
3 bước lên kế hoạch chi tiêu cá nhân
Tài chính cá nhân

3 bước lên kế hoạch chi tiêu cá nhân

14-10-2018
Đầu cơ và đầu tư: Phân biệt và lựa chọn đúng!
Đầu tư

Đầu cơ và đầu tư: Phân biệt và lựa chọn đúng!

30-06-2023
Cách đọc báo cáo tài chính để quản lý đầu tư hiệu quả
Đầu tư

Cách đọc báo cáo tài chính để quản lý đầu tư hiệu quả

19-06-2023
Bí quyết tiết kiệm tiền lương hàng tháng cho dân công sở
Tài chính cá nhân

Bí quyết tiết kiệm tiền lương hàng tháng cho dân công sở

27-10-2022
Lập kế hoạch tài chính cá nhân trọn đời chỉ với 5 bước
Tài chính cá nhân

Lập kế hoạch tài chính cá nhân trọn đời chỉ với 5 bước

08-10-2022
Quản lý chi tiêu trong gia đình hàng tháng như thế nào hợp lý?
Tài chính cá nhân

Quản lý chi tiêu trong gia đình hàng tháng như thế nào hợp lý?

29-07-2025
5 mẹo quản lý tài chính cho vợ chồng trẻ mới kết hôn
Tài chính cá nhân

5 mẹo quản lý tài chính cho vợ chồng trẻ mới kết hôn

10-02-2022
Lãi suất kép là gì? Cách tính lãi kép và mẹo ứng dụng hiệu quả
Đầu tư

Lãi suất kép là gì? Cách tính lãi kép và mẹo ứng dụng hiệu quả

30-12-2024
Hedging là gì? Hiểu đúng để hạn chế rủi ro khi đầu tư hiệu quả
Đầu tư

Hedging là gì? Hiểu đúng để hạn chế rủi ro khi đầu tư hiệu quả

18-02-2025
Cách tiết kiệm tiền theo tuần đơn giản và có kỷ luật
Tài chính cá nhân

Cách tiết kiệm tiền theo tuần đơn giản và có kỷ luật

30-06-2023
Đầu tư tiền nhàn rỗi nên chọn kênh nào sinh lời hiệu quả?
Đầu tư

Đầu tư tiền nhàn rỗi nên chọn kênh nào sinh lời hiệu quả?

04-12-2025
Quyền lợi của quỹ hưu trí tự nguyện cho tuổi già an nhàn
Tài chính cá nhân

Quyền lợi của quỹ hưu trí tự nguyện cho tuổi già an nhàn

06-09-2022
Cách tích lũy tiền hiệu quả với phương pháp Kakeibo Nhật Bản
Tài chính cá nhân

Cách tích lũy tiền hiệu quả với phương pháp Kakeibo Nhật Bản

06-09-2022
Quỹ đầu tư trái phiếu là gì và những thông tin cơ bản cần biết
Đầu tư

Quỹ đầu tư trái phiếu là gì và những thông tin cơ bản cần biết

19-10-2022
Quy tắc 72 trong tài chính: Định nghĩa, công thức và lưu ý
Đầu tư

Quy tắc 72 trong tài chính: Định nghĩa, công thức và lưu ý

17-10-2024
Cách tiết kiệm tiền 'bỏ ống heo' công nghệ cao
Tài chính cá nhân

Cách tiết kiệm tiền 'bỏ ống heo' công nghệ cao

30-06-2023
6 cách tiết kiệm tiền để sớm mua được căn nhà mơ ước
Tài chính cá nhân

6 cách tiết kiệm tiền để sớm mua được căn nhà mơ ước

31-07-2023
6 cách sử dụng tiền hợp lý để cân bằng tài chính
Tài chính cá nhân

6 cách sử dụng tiền hợp lý để cân bằng tài chính

19-10-2018
3 ứng dụng điện thoại hữu ích cho quản lý chi tiêu
Tài chính cá nhân

3 ứng dụng điện thoại hữu ích cho quản lý chi tiêu

23-10-2018
Khám phá quy tắc 5 chiếc lọ giúp quản lý tài chính thành công
Tài chính cá nhân

Khám phá quy tắc 5 chiếc lọ giúp quản lý tài chính thành công

11-08-2024
Hiểu rõ quy tắc 4% để tiến đến tự do tài chính dễ dàng hơn
Tài chính cá nhân

Hiểu rõ quy tắc 4% để tiến đến tự do tài chính dễ dàng hơn

20-12-2024
Top 5 quyển sách quản lý tài chính cá nhân kinh điển nhất của thế kỷ 21
Tài chính cá nhân

Top 5 quyển sách quản lý tài chính cá nhân kinh điển nhất của thế kỷ 21

21-04-2023
Các kênh đầu tư tài chính online hiệu quả với nguồn vốn ít
Đầu tư

Các kênh đầu tư tài chính online hiệu quả với nguồn vốn ít

12-12-2022
Có nên gửi tiết kiệm online? Có an toàn và sinh lời cao?
Tài chính cá nhân

Có nên gửi tiết kiệm online? Có an toàn và sinh lời cao?

18-02-2025
Tích lũy là gì? Bước đầu cho người mới học đầu tư
Đầu tư

Tích lũy là gì? Bước đầu cho người mới học đầu tư

23-08-2023
Để không còn khó xử khi cho vay tiền
Tài chính cá nhân

Để không còn khó xử khi cho vay tiền

07-04-2022
Các cách chi tiêu tiết kiệm hiệu quả để bớt âu lo về tài chính
Tài chính cá nhân

Các cách chi tiêu tiết kiệm hiệu quả để bớt âu lo về tài chính

25-08-2025
Rủi ro trong đầu tư là gì? Hiểu rõ để luôn chủ động

Rủi ro trong đầu tư là gì? Hiểu rõ để luôn chủ động

05-10-2022
Gen Z có 10 triệu nên đầu tư vào đâu để ‘tiền đẻ ra tiền’?
Tài chính cá nhân

Gen Z có 10 triệu nên đầu tư vào đâu để ‘tiền đẻ ra tiền’?

26-07-2025
Có thể làm gì để tiền sinh ra tiền với số vốn 50 triệu đồng?

Có thể làm gì để tiền sinh ra tiền với số vốn 50 triệu đồng?

25-01-2022
Các khoản đầu tư tài chính ngắn hạn cho người có kinh nghiệm
Tài chính cá nhân

Các khoản đầu tư tài chính ngắn hạn cho người có kinh nghiệm

03-07-2023
Danh mục đầu tư là gì? Vì sao cần đa dạng hóa danh mục đầu tư?

Danh mục đầu tư là gì? Vì sao cần đa dạng hóa danh mục đầu tư?

19-10-2022
Đánh giá nhanh lợi nhuận tiềm năng với tỷ suất sinh lời kỳ vọng

Đánh giá nhanh lợi nhuận tiềm năng với tỷ suất sinh lời kỳ vọng

30-07-2023
Hành động mua sắm theo cảm xúc của giới trẻ
Tài chính cá nhân

Hành động mua sắm theo cảm xúc của giới trẻ

01-03-2023
Chu kỳ kinh tế là gì? 4 điều cần biết để ổn định kinh tế hiệu quả
Tài chính cá nhân

Chu kỳ kinh tế là gì? 4 điều cần biết để ổn định kinh tế hiệu quả

03-12-2025
Tiết kiệm là gì? 16 cách tiết kiệm tiền đơn giản và hiệu quả
Tài chính cá nhân

Tiết kiệm là gì? 16 cách tiết kiệm tiền đơn giản và hiệu quả

29-08-2022
Nên lựa chọn kênh đầu tư nào vừa an toàn lại sinh lời?

Nên lựa chọn kênh đầu tư nào vừa an toàn lại sinh lời?

03-08-2018
Đầu tư giá trị là gì? Các nguyên tắc cần biết để tự tin áp dụng

Đầu tư giá trị là gì? Các nguyên tắc cần biết để tự tin áp dụng

07-11-2024
Làm sao để toán học thú vị hơn trong mắt trẻ?
Kế hoạch học vấn

Làm sao để toán học thú vị hơn trong mắt trẻ?

22-04-2019
7 lời khuyên từ chuyên gia Harvard để giúp con trẻ phát triển não bộ tốt nhất
Kế hoạch học vấn

7 lời khuyên từ chuyên gia Harvard để giúp con trẻ phát triển não bộ tốt nhất

05-08-2021
Dạy con tự lập trong chi tiêu
Kế hoạch học vấn

Dạy con tự lập trong chi tiêu

24-09-2018
6 bí quyết dạy con ngoan của các nhà tâm lý học ĐH Harvard
Kế hoạch học vấn

6 bí quyết dạy con ngoan của các nhà tâm lý học ĐH Harvard

26-10-2018
Kích thích khả năng tư duy của trẻ như thế nào?
Kế hoạch học vấn

Kích thích khả năng tư duy của trẻ như thế nào?

10-03-2018
Cách tận dụng hệ số đòn bẩy tài chính gia tăng tài sản hiệu quả

Cách tận dụng hệ số đòn bẩy tài chính gia tăng tài sản hiệu quả

01-08-2023
Nhà đầu tư F0 là gì? Hướng dẫn cho người mới bắt đầu!

Nhà đầu tư F0 là gì? Hướng dẫn cho người mới bắt đầu!

28-06-2023
Khi con học cấp 2 đã yêu: Giải mã tâm lý & điều cha mẹ cần làm
Kế hoạch học vấn

Khi con học cấp 2 đã yêu: Giải mã tâm lý & điều cha mẹ cần làm

09-02-2018
Đừng bỏ lỡ các kênh đầu tư tài chính cá nhân tốt nhất hiện nay!

Đừng bỏ lỡ các kênh đầu tư tài chính cá nhân tốt nhất hiện nay!

27-06-2023
Dạy trẻ tiết kiệm tiền – Chìa khóa để trẻ quản lý tài chính hiệu quả trong tương lai
Kế hoạch học vấn

Dạy trẻ tiết kiệm tiền – Chìa khóa để trẻ quản lý tài chính hiệu quả trong tương lai

12-10-2021
5 bước quan trọng trong việc quản lý vòng quay của đồng tiền
Tài chính cá nhân

5 bước quan trọng trong việc quản lý vòng quay của đồng tiền

19-04-2022
Đồng hành cùng con trong việc thiết lập mục tiêu
Kế hoạch học vấn

Đồng hành cùng con trong việc thiết lập mục tiêu

18-09-2018
Đôi khi, bạn sẽ hối tiếc nếu không tính đến chi phí cơ hội
Tài chính cá nhân

Đôi khi, bạn sẽ hối tiếc nếu không tính đến chi phí cơ hội

04-04-2022
Bật mí cách xây dựng quỹ dự phòng tài chính cá nhân từ số 0
Tài chính cá nhân

Bật mí cách xây dựng quỹ dự phòng tài chính cá nhân từ số 0

07-11-2024
Dạy trẻ cách kiếm tiền, cha mẹ nên bắt đầu từ đâu?
Kế hoạch học vấn

Dạy trẻ cách kiếm tiền, cha mẹ nên bắt đầu từ đâu?

12-10-2021
ZBB hay phương pháp cho mỗi đồng tiền đều có một mục tiêu
Tài chính cá nhân

ZBB hay phương pháp cho mỗi đồng tiền đều có một mục tiêu

21-04-2022
Vì sao Gen Z quan tâm đến đầu tư từ rất sớm?

Vì sao Gen Z quan tâm đến đầu tư từ rất sớm?

03-06-2022
Quỹ đầu tư mạo hiểm là gì? 3 lưu ý trước khi đầu tư mạo hiểm

Quỹ đầu tư mạo hiểm là gì? 3 lưu ý trước khi đầu tư mạo hiểm

17-10-2024
4 lời khuyên chống mất ngủ khi thị trường chứng khoán tiến về vùng đáy

4 lời khuyên chống mất ngủ khi thị trường chứng khoán tiến về vùng đáy

22-06-2022
Hedge funds là gì? Cách thức hoạt động và những điều cần biết
Tài chính cá nhân

Hedge funds là gì? Cách thức hoạt động và những điều cần biết

26-07-2025
Làm cách nào để con nhận ra giá trị của lao động và tiền bạc?
Kế hoạch học vấn

Làm cách nào để con nhận ra giá trị của lao động và tiền bạc?

12-10-2018
3 cấp độ khó khăn và cách dạy trẻ đối mặt
Kế hoạch học vấn

3 cấp độ khó khăn và cách dạy trẻ đối mặt

24-08-2018
Nhà đầu tư nhí tiềm năng
Kế hoạch học vấn

Nhà đầu tư nhí tiềm năng

08-10-2018
Dạy trẻ cách cư xử tử tế bắt đầu từ đâu?
Kế hoạch học vấn

Dạy trẻ cách cư xử tử tế bắt đầu từ đâu?

28-02-2019
Những chòm sao tiết lộ điều gì về khả năng quản lý tài chính của bạn?
Tài chính cá nhân

Những chòm sao tiết lộ điều gì về khả năng quản lý tài chính của bạn?

20-01-2022
A.I đang quản tiền giúp bạn – nhưng bạn có thật sự kiểm soát được nó?
Tài chính cá nhân

A.I đang quản tiền giúp bạn – nhưng bạn có thật sự kiểm soát được nó?

01-09-2025
Giúp con chọn bạn mà chơi như thế nào?
Kế hoạch học vấn

Giúp con chọn bạn mà chơi như thế nào?

18-09-2018
Dù thành công hay thất bại, đây là 10 bài học mà việc đầu tư chứng khoán đã mang lại cho chúng ta

Dù thành công hay thất bại, đây là 10 bài học mà việc đầu tư chứng khoán đã mang lại cho chúng ta

28-07-2022
Khi nào nên cho con học bơi?
Kế hoạch học vấn

Khi nào nên cho con học bơi?

19-10-2018
Olympic và những bài học tài chính đắt giá

Olympic và những bài học tài chính đắt giá

12-11-2019
3 bài học giúp con biết cảm thông
Kế hoạch học vấn

3 bài học giúp con biết cảm thông

04-03-2019
Cho con học trường quốc tế, phụ huynh cần lưu ý những gì?
Kế hoạch học vấn

Cho con học trường quốc tế, phụ huynh cần lưu ý những gì?

15-03-2023
11 bí kíp giúp bạn bắt đầu cắt giảm chi tiêu hiệu quả (Phần 1)
Tài chính cá nhân

11 bí kíp giúp bạn bắt đầu cắt giảm chi tiêu hiệu quả (Phần 1)

20-10-2018
Tết này con sẽ làm gì?
Kế hoạch học vấn

Tết này con sẽ làm gì?

21-01-2019
Nếu quản lý ngân sách là một trò chơi, làm thế nào để trở thành người thắng cuộc?
Tài chính cá nhân

Nếu quản lý ngân sách là một trò chơi, làm thế nào để trở thành người thắng cuộc?

06-01-2022
Giúp con bảo vệ bản thân ở tuổi dậy thì
Kế hoạch học vấn

Giúp con bảo vệ bản thân ở tuổi dậy thì

26-08-2018
Không nên áp đặt việc chọn ngành học cho con
Kế hoạch học vấn

Không nên áp đặt việc chọn ngành học cho con

27-07-2018
Tiết kiệm mỗi tháng, không khó như bạn nghĩ!

Tiết kiệm mỗi tháng, không khó như bạn nghĩ!

18-10-2018
Làm sao để bảo vệ bản thân trước lừa đảo đầu tư

Làm sao để bảo vệ bản thân trước lừa đảo đầu tư

11-09-2018
Mối liên hệ giữa căng thẳng tài chính và rủi ro sức khoẻ
Tài chính cá nhân

Mối liên hệ giữa căng thẳng tài chính và rủi ro sức khoẻ

13-09-2018
Chiến thuật trả nợ kiểu “ tuyết lở” & “ quả cầu tuyết”: Bạn hợp với kiểu nào?
Tài chính cá nhân

Chiến thuật trả nợ kiểu “ tuyết lở” & “ quả cầu tuyết”: Bạn hợp với kiểu nào?

11-09-2025
Chuẩn bị tâm thế đối mặt với mọi rủi ro

Chuẩn bị tâm thế đối mặt với mọi rủi ro

29-06-2020
Cơ hội làm giàu từ các quỹ đầu tư chứng khoán!
Tài chính cá nhân

Cơ hội làm giàu từ các quỹ đầu tư chứng khoán!

09-08-2023
Quản lý danh mục đầu tư cho rủi ro thấp, lợi nhuận cao

Quản lý danh mục đầu tư cho rủi ro thấp, lợi nhuận cao

26-06-2023
Các kênh đầu tư cho giới trẻ muốn làm giàu bền vững

Các kênh đầu tư cho giới trẻ muốn làm giàu bền vững

19-08-2023
Chân dung công dân toàn cầu
Kế hoạch học vấn

Chân dung công dân toàn cầu

21-02-2019
Đầu tư gì trong bối cảnh thị trường đỏ lửa?

Đầu tư gì trong bối cảnh thị trường đỏ lửa?

15-09-2022
Cùng con đi học mẫu giáo
Kế hoạch học vấn

Cùng con đi học mẫu giáo

18-04-2019
Vun đắp cho tương lai với các nguyên tắc đầu tư - tích lũy an toàn

Vun đắp cho tương lai với các nguyên tắc đầu tư - tích lũy an toàn

03-07-2023
5 lợi ích của việc dạy ngoại ngữ cho con từ sớm
Kế hoạch học vấn

5 lợi ích của việc dạy ngoại ngữ cho con từ sớm

20-10-2018
Độc lập tài chính, nghỉ hưu sớm: Các cấp độ và cách thực hiện
Tài chính cá nhân

Độc lập tài chính, nghỉ hưu sớm: Các cấp độ và cách thực hiện

17-10-2024
Bao nhiêu tiền thì có thể gửi tiết kiệm và cần lưu ý gì?
Tài chính cá nhân

Bao nhiêu tiền thì có thể gửi tiết kiệm và cần lưu ý gì?

20-12-2024
5 khuynh hướng hành vi nên tránh để không ảnh hưởng xấu đến quyết định đầu tư

5 khuynh hướng hành vi nên tránh để không ảnh hưởng xấu đến quyết định đầu tư

19-05-2022
Cùng con học cách tự điều khiển tâm trí và giữ bình tĩnh
Kế hoạch học vấn

Cùng con học cách tự điều khiển tâm trí và giữ bình tĩnh

11-03-2019
Cách dự phòng trước hiệu ứng domino từ khủng hoảng kinh tế toàn cầu
Tài chính cá nhân

Cách dự phòng trước hiệu ứng domino từ khủng hoảng kinh tế toàn cầu

03-12-2025
Làm gì để chuẩn bị cho một tuổi hưu an nhàn?
Tài chính cá nhân

Làm gì để chuẩn bị cho một tuổi hưu an nhàn?

25-09-2018
10 lời khuyên hữu ích dành cho những nhà đầu tư “newbie”

10 lời khuyên hữu ích dành cho những nhà đầu tư “newbie”

19-05-2022
Nghỉ hưu ở tuổi 30-40: liệu có khả thi?
Tài chính cá nhân

Nghỉ hưu ở tuổi 30-40: liệu có khả thi?

11-09-2025
Tôi đã nghỉ hưu ở tuổi 40 bằng cách nào?
Tài chính cá nhân

Tôi đã nghỉ hưu ở tuổi 40 bằng cách nào?

22-11-2018
Mạng xã hội đã chiêu dụ bạn tiêu tiền như thế nào?
Tài chính cá nhân

Mạng xã hội đã chiêu dụ bạn tiêu tiền như thế nào?

25-10-2018
Bài học tài chính cho trẻ từ bao lì xì ngày Tết
Tài chính cá nhân

Bài học tài chính cho trẻ từ bao lì xì ngày Tết

26-01-2023
4 chỉ số giúp bạn quản lý tài chính dễ dàng
Tài chính cá nhân

4 chỉ số giúp bạn quản lý tài chính dễ dàng

27-08-2018
Gen Z bỏ túi nhanh bí quyết quản lý tài chính cá nhân

Gen Z bỏ túi nhanh bí quyết quản lý tài chính cá nhân

27-04-2022
Người trẻ và những lỗi thường gặp về quản lý tài chính cá nhân
Tài chính cá nhân

Người trẻ và những lỗi thường gặp về quản lý tài chính cá nhân

26-04-2022
Những bài học tài chính "vỡ lòng" cha mẹ cần dạy con
Kế hoạch học vấn

Những bài học tài chính "vỡ lòng" cha mẹ cần dạy con

09-09-2019
Những sai lầm thường gặp trong quản lý tài chính cá nhân
Tài chính cá nhân

Những sai lầm thường gặp trong quản lý tài chính cá nhân

01-10-2018
Nếu được quay về tuổi 20, tôi sẽ dặn mình những điều này để tài chính luôn dư dả
Tài chính cá nhân

Nếu được quay về tuổi 20, tôi sẽ dặn mình những điều này để tài chính luôn dư dả

30-11-2021
Quỹ cân bằng là gì? Có nên chọn quỹ đầu tư cân bằng không?

Quỹ cân bằng là gì? Có nên chọn quỹ đầu tư cân bằng không?

20-12-2024
6 lý do khiến bạn muốn tham gia các quỹ đầu tư

6 lý do khiến bạn muốn tham gia các quỹ đầu tư

29-11-2018
Quỹ đóng và quỹ mở có gì giống và khác nhau?

Quỹ đóng và quỹ mở có gì giống và khác nhau?

07-09-2024
Quy tắc ngón tay cái là gì? 8 quy tắc được ứng dụng phổ biến

Quy tắc ngón tay cái là gì? 8 quy tắc được ứng dụng phổ biến

12-11-2024
Xây dựng quỹ tiết kiệm cho riêng mình, bạn đã biết?
Tài chính cá nhân

Xây dựng quỹ tiết kiệm cho riêng mình, bạn đã biết?

04-12-2024
Mới tập đầu tư, đừng mắc phải 7 sai lầm dưới đây

Mới tập đầu tư, đừng mắc phải 7 sai lầm dưới đây

19-05-2022
Kiểm tra sức khỏe tài chính để nâng cao hiệu quả với 7 cách
Tài chính cá nhân

Kiểm tra sức khỏe tài chính để nâng cao hiệu quả với 7 cách

08-11-2024
Cách tăng thu nhập cho Gen Z: Bí quyết đột phá tài chính
Tài chính cá nhân

Cách tăng thu nhập cho Gen Z: Bí quyết đột phá tài chính

30-07-2025
Chạm mặt HENRY - Thế hệ thu nhập cao nhưng luôn trong tình trạng lao đao
Tài chính cá nhân

Chạm mặt HENRY - Thế hệ thu nhập cao nhưng luôn trong tình trạng lao đao

23-08-2022
4 lý do khiến bạn mãi tiết kiệm mà không thành công
Tài chính cá nhân

4 lý do khiến bạn mãi tiết kiệm mà không thành công

03-02-2021
Gửi tiết kiệm tích lũy là gì, có khác tiết kiệm thường không?
Tài chính cá nhân

Gửi tiết kiệm tích lũy là gì, có khác tiết kiệm thường không?

22-07-2025
Tiết kiệm và đầu tư: Giải pháp nào có lợi?
Tài chính cá nhân

Tiết kiệm và đầu tư: Giải pháp nào có lợi?

12-12-2022
Tín phiếu là gì? Vai trò và phân loại tín phiếu hiện nay
Tài chính cá nhân

Tín phiếu là gì? Vai trò và phân loại tín phiếu hiện nay

18-02-2025
Hiểu đúng về trào lưu FIRE và bí quyết theo đuổi thành công
Tài chính cá nhân

Hiểu đúng về trào lưu FIRE và bí quyết theo đuổi thành công

12-11-2024
Ta có đang gánh nợ quá nhiều?
Tài chính cá nhân

Ta có đang gánh nợ quá nhiều?

21-11-2022
4 điều cần cân nhắc trước khi mua căn nhà thứ hai
Tài chính cá nhân

4 điều cần cân nhắc trước khi mua căn nhà thứ hai

15-11-2018
4 sự kiện quan trọng của cuộc đời mà bạn cần hoạch định tài chính
Tài chính cá nhân

4 sự kiện quan trọng của cuộc đời mà bạn cần hoạch định tài chính

22-09-2018
4 xu hướng mới trong cách quản lý tiền bạc thời hiện đại
Tài chính cá nhân

4 xu hướng mới trong cách quản lý tiền bạc thời hiện đại

29-08-2018
Có nên cho con đi du học và cách chuẩn bị hành trang cho con
Kế hoạch học vấn

Có nên cho con đi du học và cách chuẩn bị hành trang cho con

10-10-2025
Hakuna Matata - Đừng để lo lắng làm vụt mất cơ hội

Hakuna Matata - Đừng để lo lắng làm vụt mất cơ hội

01-04-2019
Thu hẹp khoảng cách thế hệ với con trẻ bắt đầu từ đâu?
Kế hoạch học vấn

Thu hẹp khoảng cách thế hệ với con trẻ bắt đầu từ đâu?

09-08-2018
Làm gì khi trường học trở thành nỗi sợ của trẻ?
Kế hoạch học vấn

Làm gì khi trường học trở thành nỗi sợ của trẻ?

04-10-2018
Biết cách quan tâm người khác, con sẽ trở thành người tử tế
Kế hoạch học vấn

Biết cách quan tâm người khác, con sẽ trở thành người tử tế

07-03-2019
Thời gian biểu cho bé vào tiểu học
Kế hoạch học vấn

Thời gian biểu cho bé vào tiểu học

07-09-2019
8 điều bạn và con có thể học được khi cùng xem phim Forrest Gump
Kế hoạch học vấn

8 điều bạn và con có thể học được khi cùng xem phim Forrest Gump

22-09-2020
7 cách đầu tư cho bản thân không bao giờ lỗ

7 cách đầu tư cho bản thân không bao giờ lỗ

12-12-2022
6 bước cụ thể giúp bạn lập kế hoạch cho bản thân trong 5 năm tới
Kế hoạch học vấn

6 bước cụ thể giúp bạn lập kế hoạch cho bản thân trong 5 năm tới

19-08-2023
12 kỹ năng sống cho bé cha mẹ nên giáo dục ngay từ sớm
Kế hoạch học vấn

12 kỹ năng sống cho bé cha mẹ nên giáo dục ngay từ sớm

03-09-2019
10 trò "vừa học vừa chơi" cùng con cả tuần không chán
Kế hoạch học vấn

10 trò "vừa học vừa chơi" cùng con cả tuần không chán

14-09-2020
Nổi loạn tuổi dậy thì: Cha mẹ nên làm gì để thấu hiểu con?
Kế hoạch học vấn

Nổi loạn tuổi dậy thì: Cha mẹ nên làm gì để thấu hiểu con?

03-08-2018
Cách nào để trở thành bạn đồng hành thân thiết của con?
Tài chính cá nhân

Cách nào để trở thành bạn đồng hành thân thiết của con?

30-08-2018
Cần làm gì để chuẩn bị tâm thế đến trường cho trẻ?
Kế hoạch học vấn

Cần làm gì để chuẩn bị tâm thế đến trường cho trẻ?

30-08-2018
Là cha mẹ cũng cần học cách tôn trọng con cái
Kế hoạch học vấn

Là cha mẹ cũng cần học cách tôn trọng con cái

21-06-2023
Làm thế nào để giúp con sống có trách nhiệm
Kế hoạch học vấn

Làm thế nào để giúp con sống có trách nhiệm

02-08-2018
Đừng ngăn cấm, hãy hướng dẫn con dùng mạng xã hội đúng cách
Kế hoạch học vấn

Đừng ngăn cấm, hãy hướng dẫn con dùng mạng xã hội đúng cách

13-09-2019
Con bạn có đang trở nên xa cách với gia đình?
Kế hoạch học vấn

Con bạn có đang trở nên xa cách với gia đình?

02-09-2018
Làm thế nào để phát triển ngôn ngữ cho trẻ trong thời điểm vàng
Kế hoạch học vấn

Làm thế nào để phát triển ngôn ngữ cho trẻ trong thời điểm vàng

02-09-2018
Khám phá 5 phương pháp giáo dục đi ngược truyền thống
Kế hoạch học vấn

Khám phá 5 phương pháp giáo dục đi ngược truyền thống

10-12-2018
Không phải tất cả “millennials” đều giống nhau
Tài chính cá nhân

Không phải tất cả “millennials” đều giống nhau

11-03-2020
Bí kíp tiết kiệm nhiên liệu trong thời kỳ giá xăng biến động
Tài chính cá nhân

Bí kíp tiết kiệm nhiên liệu trong thời kỳ giá xăng biến động

03-11-2022
Ứng xử ra sao với khủng hoảng tuổi lên ba
Kế hoạch học vấn

Ứng xử ra sao với khủng hoảng tuổi lên ba

03-08-2018
Cách hoạch định tài chính cho các gia đình
Tài chính cá nhân

Cách hoạch định tài chính cho các gia đình

18-05-2022
Chuẩn bị quỹ tiền học cho con bắt đầu từ đâu?
Kế hoạch học vấn

Chuẩn bị quỹ tiền học cho con bắt đầu từ đâu?

03-09-2018
Lợi ích bất ngờ khi cho trẻ đọc truyện tranh
Kế hoạch học vấn

Lợi ích bất ngờ khi cho trẻ đọc truyện tranh

19-11-2018
Tự do tài chính là gì? Bí quyết để tự do tài chính nhanh nhất
Tài chính cá nhân

Tự do tài chính là gì? Bí quyết để tự do tài chính nhanh nhất

20-02-2025
Gen Y: Luôn tự tin nhưng vẫn thận trọng
Tài chính cá nhân

Gen Y: Luôn tự tin nhưng vẫn thận trọng

07-09-2024
Rèn luyện tư duy toàn cầu cho con từ hôm nay
Kế hoạch học vấn

Rèn luyện tư duy toàn cầu cho con từ hôm nay

25-02-2019
Tuổi trẻ đừng để rơi vào cảnh mặt trời tắt nắng giữa trưa
Tài chính cá nhân

Tuổi trẻ đừng để rơi vào cảnh mặt trời tắt nắng giữa trưa

08-04-2020
Trước khi quyết định có con, hãy tự hỏi 4 câu sau!
Kế hoạch học vấn

Trước khi quyết định có con, hãy tự hỏi 4 câu sau!

01-09-2018
5 câu hỏi về tiền nong bạn cần tự trả lời trước khi bỏ việc đi chơi
Tài chính cá nhân

5 câu hỏi về tiền nong bạn cần tự trả lời trước khi bỏ việc đi chơi

29-10-2018